当前位置: 材料牛 » HTH官网地址 » 导读 » 浙江大学Adv. Funct. Mater.:一维管/线结构SnO2高选择性电催化还原CO2

浙江大学Adv. Funct. Mater.:一维管/线结构SnO2高选择性电催化还原CO2

【引言】

二氧化碳电催化还原(ERC)是当前电化学研究领域中相当活跃的课题,其发展对解决人类面临的能源和环境问题,推动电催化理论研究的进展都具有重要的意义。用于ERC的有众多贵金属、过渡态金属、过渡态金属氧化物、过渡态金属二硫化物、碳材料等。其中,Sn及其氧化物因其性能优异而广受关注。

【成果简介】

近日,浙江大学化学工程与生物工程学院的范磊和夏峥(共同一作)与李中坚及青年千人陆盈盈(共同通讯作者)Adv. Funct. Mater.发表了题为“1D SnO2 with Wire-in-Tube Architectures for Highly Selective Electrochemical Reduction of CO2 to C1 Products”的研究成果。该工作制备了1D管包线(WIT)结构的SnO2,在工作电压为-0.89V~-1.29V时,其ERC生成C1的法拉第效率(FE)>90%。

【图文导读】

图一. 管包线(WIT)结构的SnO2制备机理及SEM表征

图二. WIT结构SnO2的表征


a-b. WIT结构SnO2的HRTEM表征及电子衍射图;

c-d. WIT结构SnO2的STEM表征及元素分布;

e. WIT结构SnO2的TEM成像及高密度晶粒边界(GBs)。

图三. WIT结构与纳米颗粒(NP)结构SnO2的BET分析

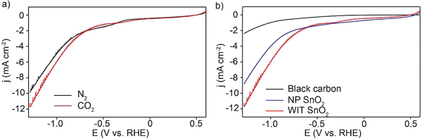
图四. 线性扫描伏安法(LSV)对比实验


a. 分别在N2和CO2饱和溶液中WIT结构SnO2的LSV结果;

b. 在CO2饱和的KHCO3溶液中,黑炭纸、NP SnO2、WIT SnO2的LSV结果。

图五. NP SnO2和WIT SnO2电催化产物的法拉第效率(FE)

图六. 还原前后WIT SnO2的HRTEM及XPS表征


a-b. WIT SnO2还原后的HRTEM表征;

c-d. WIT SnO2还原前后的XPS表征。

【小结】

简单廉价的制备过程、高电流密度、对C1产物的高选择性、较低的超电势和优异的化学稳定性,使得新型WIT SnO2可成为有前景的ERC催化剂。

文献链接1D SnO2 with Wire-in-Tube Architectures for Highly Selective Electrochemical Reduction of CO2 to C1 Products(Adv. Funct. Mater., 2018 DOI: 10.1002/adfm.201706289)

本文由材料人编辑部纳米学术组Mr_PSP[彭胜攀]供稿,材料牛编辑整理。

材料牛网专注于跟踪材料领域HTH官网地址 及行业进展,这里汇集了各大高校硕博生、一线科研人员以及行业从业者,如果您对于跟踪材料领域HTH官网地址 进展,解读高水平文章或是评述行业有兴趣,点我加入编辑部大家庭

欢迎大家到材料人宣传HTH官网地址 成果并对文献进行深入解读,投稿邮箱tougao@cailiaoren.com。

投稿以及内容合作可加编辑微信:RDD-2011-CHERISH,任丹丹,我们会邀请各位老师加入专家群。

材料测试、数据分析,上测试谷

未经允许不得转载:材料牛 » 浙江大学Adv. Funct. Mater.:一维管/线结构SnO2高选择性电催化还原CO2

相关文章

Baidu
map