当前位置: 材料牛 » HTH官网地址 » 导读 » Nano Lett.:液液界面处纳米粒子阻塞的动力学转变

Nano Lett.:液液界面处纳米粒子阻塞的动力学转变

【引言】

理解玻璃转变的本质和阻塞(Jamming)行为是材料科学中长久以来的挑战。阻塞现象在各类系统中十分普遍,有很多不同的长度尺度,由现实中的交通拥堵到沙堆中颗粒物质的阻塞或者起独立系统胶体和纳米颗粒的粉末流动。阻塞,正如Liu和Nagel最初描述的那样,反映了随堆积密度增加至一个临界点,发生由类液态到类固态的转变,在分离系统之间建立起一般框架。阻塞转变中,密切联系的粒子的渗透路径可以承受载荷,防止体积的进一步减少。除了晶化和玻璃化之外,阻塞提供了液体固化的另一途径。

【成果简介】

在流体或液体界面处起分隔作用的纳米颗粒会形成无序或类液聚集体,在分界面处扩散运动。随着界面处纳米颗粒的面密度增加,存在的界面面积减少,当纳米颗粒发生阻塞时,纳米聚集体的界面运动方式发生变化。

近日,美国马萨诸塞大学Amherst分校、劳伦斯伯克利国家实验室和北京化工大学的Thomas P. Russell教授青岛HTH官网地址 大学聂华荣教授合作开展了相关研究工作,其研究成果以“Transition in Dynamics as Nanoparticles Jam at the Liquid/Liquid Interface”为题发表在Nano Lett.本工作通过X射线光子相关光谱来研究阻塞时的动力学。通过自乳化在液液界面形成的水-甲苯乳浊液,受盖帽配体CdSe-ZnS纳米粒子作用稳定化,为研究纳米颗粒的动力学提供了一个简单有效的平台。与单一平面界面对比,乳化作用增加了入射线的纳米颗粒数量,与在纯水中的同一路径长度相比,减少了X射线的吸收。不连续动力学显示了由扩散到受限动力学的转变,意味着类液态转变为阻塞态。

【图文导读】

示意图1:小角X射线光子相关光谱测量纳米颗粒稳定乳状液的示意图。

图1:乳状液和纳米颗粒的显微形貌

(A)-(C)在水/甲苯界面处的乳状液的光学显微图片;

(D)在水/油界面处的乳状液的光学显微图片;

(E)清洗甲苯后,在水/甲苯界面处形成的类固、褶皱的纳米颗粒薄膜;

(F)在有碳膜的铜网上干燥后的CdSe-ZnS纳米颗粒的透射电镜图片。

图2:在甲苯/水界面处,不同CdSe-ZnS纳米颗粒浓度(单位为mg/ml)下,界面张力随时间的变化情况。

图3:不同纳米颗粒浓度(由0.5至30mg/ml)下,多粒径分布的纳米颗粒稳定乳状液的小角X射线衍射图。

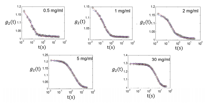
图4:在波矢q=0.022nm-1时,不同浓度所对应的强度自关联函数g2(q,t)。

图5:系统弛豫现象观测

(A)在波矢q=0.022nm-1时,弛豫时间随浓度的变化情况;

(B)在波矢q=0.022nm-1时,0.01s的短时稳定振幅随浓度的变化情况。

图6:阻塞系统中,纳米颗粒浓度和弛豫的关系

(A)不同浓度下幂指数β随波矢q的变化情况;

(B)特征弛豫时间随波矢变化的对数表示,浓度变化由0.5至30mg/ml。

示意图2:当浓度变化时,布朗运动和间歇(intermittent)运动的动力学转变的简图。

布朗运动发生在低浓度情况下,纳米颗粒逐个分离,起源于粒子和液体分子之间碰撞。当粒子形成网络(黄色折线)时,间歇扩散发生,随机生成或网络破裂会诱导粒子位置的重排。

【总结】

本工作通过在自乳化系统开展X射线光谱学,克服液液界面传统动力学研究方法的困难,系统研究了纳米粒子阻塞的动力学转变,在液液界面处纳米粒子的自组装,当纳米粒子浓度增加到临界值时达到阻塞态。自乳化减轻了动力学过程中乳化液滴的生长效果。由于纳米粒子在流体界面处组装的空间关联所产生的干扰因素,控制着散射。本研究成功表征了由扩散到受限动力学和间歇动力学的转变,显示了由类液态到阻塞态的转变。当系统受限时可观察到空间不均匀性和短时的间歇运动。受限动力学的标度指数可以拟合接近模量耦合近似的结果,从而证明即使控制变量不同,阻塞仍然是非晶态行为的普遍现象。

文献链接:Transition in Dynamics as Nanoparticles Jam at the Liquid/Liquid Interface  (Nano Lett.,2017,DOI:10.1021/acs.nanolett.7b03159)

本文由材料人计算材料组Isobel供稿,材料牛整理编辑。

材料牛网专注于跟踪材料领域HTH官网地址 及行业进展,这里汇集了各大高校硕博生、一线科研人员以及行业从业者,如果您对于跟踪材料领域HTH官网地址 进展,解读高水平文章或是评述行业有兴趣,点我加入编辑部大家庭

欢迎大家到材料人宣传HTH官网地址 成果并对文献进行深入解读,投稿邮箱tougao@cailiaoren.com。

投稿以及内容合作可加编辑微信:RDD-2011-CHERISH,任丹丹,我们会邀请各位老师加入专家群。

材料测试、数据分析,上测试谷

未经允许不得转载:材料牛 » Nano Lett.:液液界面处纳米粒子阻塞的动力学转变

相关文章

Baidu
map