当前位置: 材料牛 » 专栏 » 第一性原理发展简史(2)霍恩贝格-科恩定理与里兹变分法

第一性原理发展简史(2)霍恩贝格-科恩定理与里兹变分法

感谢朋友们的阅读与转发,在开始本期内容之前,下官在此先回答上期读者们几个高频的提问:

  • 关于第一性原理这个词语在1900前哲学与数学中使用的问题

很多人追问文中一段话出处,其实严格意义上逐字逐句的表述应该算作者原创,并不是直接引用,但是这样论述并非是毫无根据的。这段内容最初是作者学生时代一门课程老师所述,写文章时已经默认这是本领域中学界的一个共识。

今天的文字资料中第一性原理(first principle)一般已经默认就是指计算材料学中的第一性原理计算,个别国家特别是德国、奥地利等德语区为了学术严谨起见则更愿意使用ab-initia(又译为从头算),美国、澳大利亚、英国等英语区国家则是二者并用,中文环境下由于历史原因主要是源自外文翻译与编辑,因此主流说法认为汉语环境“第一性原理”仅指代计算材料学。

上期之所以说1900年前第一性原理主要用于哲学、数学、理论物理,根据与逻辑如下:亚里士多德时代已经诞生了第一性原理(first principle)的定义,而计算材料学的源头——量子力学诞生于1900年之后。1900年以前的哲学、数学著作中时常可以见到first principle这一术语的使用,当然这些著作今天流通的修订本或者是再编版已不再使用第一性原理的表述:哲学中往往用priori-principle替代之前的第一性原理表述;数学中今天已经统一使用规范术语“公理”(axioms)表述,因此今天再说第一性原理涵盖哲学、数学已经有些不合时宜。另外第一性原理这个词语本身的使用一定程度上也体现了欧洲16世纪以来,人文主义的兴起初期理论、知识是以人为本、以人为核心的,它的出发点是希望不依赖(那时认为是上帝或神创造的)物质实验、测量建立起一个完全由人的意识引出的(与神学足以抗衡的)理论体系。这一点上与中华神话《夸父逐日》的精髓类似,反映出人类在探索自然时不屈、奋进的精神。

  • 关于分子动力学是否属于第一性原理

此处的分子动力学特指molecule dynamics,简称MD,中文环境中由于各种原因“分子动力学”可一词可能涵盖其他意义,如作者接触过的物理化学中的分子马达领域将相关的内容称为分子动力学。MD最早在1950年代提出,最初的MD与第一性原理的发展有不可分割的联系,由分子间相互作用势能函数、分子力学力场、密度泛函理论共同计算、模拟分子(粒子)运动轨迹,可以计算化学反应路径、复杂体系热力学性质等等。在一些场合中,第一性原理特指密度泛函理论(DFT),因而会由于MD与DFT差异较大认为二者不存在包含关系。但一般观点认为密度泛函理论与分子动力学同为广义第一性原理的两大主要分支。

第一性原理发展简史(2)——霍恩贝格-科恩定理与里兹变分法

上期我们介绍了密度泛函理论框架以及科恩-沈吕九方程的提出,今天我们就走进这个框架进一步看看它的内部构造:

  1. 霍恩贝格-科恩定理(Hohenberg-Kohn)

早在科恩-沈吕九方程提出之前,物理学家们对周期性材料体系已经有了原始但模糊的认识,电子是一种全同(狄拉克)费米子(当然今天最新的进展认为这个观点不再全面,但与本文关系不大,详见外尔Weyl费米子、马约拉那Majorana费米子),以下简称费米子。霍恩贝格-科恩定理堪称科恩-沈吕九方程的理论基石,它的内容如下:

  • 不计自旋的全同费米子系统的基态能量是粒子数密度函数的唯一泛函;
  • 能量泛函在粒子数不变条件下在正确的粒子数密度函数中达到极小值,此数值等于系统基态能量。

进而

  • 粒子数密度函数确定后,直接决定基态所有物理性质:能量、波函数以及所有力学量算符的期待值;
  • 简言之,一旦知道固体中的电子数密度函数,就等价于知道了能量泛函的极小值,并且这个极小值就是体系绝对零度下(所有状态能量最低的温度)基态的能量。

如上一期所讲,密度泛函理论这套体系中所有算符的作用对象都是密度函数,它与科恩沈吕九方程的关系如同传统量子力学波函数之于薛定谔方程;而论物理含义,波函数的模方表示在位矢处找到某个电子的概率,与之对应的,密度函数的模则反应了在位矢处观测到电子的数目

那么结合泡利不相容原理原理,对于某一种特定的材料,原子核点阵产生的周期性势场一定、电子总数一定的情况下,基态的电子密度分布应当是唯一确定的。这句话等效于说密度函数唯一确定,对应的基态能量也应当是唯一确定的。进而对于给定的体系,随给出任意一个试探解,我们都可以使用数学上的变分法一步一步最终找到能量本征值最小的密度函数。而在找到所有穷尽的可能的密度函数之后,这当中谁的能量本征值最小,谁就是基态真正的密度函数。

体系哈密顿算符可写为,其中,分别表示电子与电子相互作用、原子核与原子核相互作用势能;为电子动能;表示外场的作用,原子核对电子的作用也包含在此列,若无体系外界作用力,则

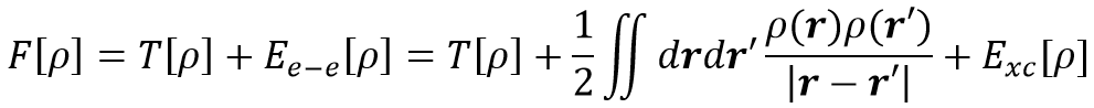
因此,一旦给出了所有相互作用力的势函数,原则上就可以求得电子数密度函数;一旦得了体体系的密度函数,进而就可求得能量关于的泛函:

式中为与外场无关的泛函,包括电子动能与电子间的相互作用能

上式中第一项就是电子动能,第二项表示电子之间的库仑作用,第三项为后面重点介绍的相互交换能(exchange)与相互关联能(correlation),英语中简称为xc energy

表示外场的作用:

表示原子核之间的排斥能:

其中 表示考虑电子对核的屏蔽效应之后的有效电荷,为原子核坐标[i]。

从上述霍恩贝格-科恩定理的内容我们的确不难看出,如果得到能量泛函,将对电子密度函数进行变分,就可以确定系统的基态和所有基态的性质。进而,理论上说,下一个能量最小的位置意味着第一激发态,从而可以陆续求得第二、第三等等全部能态的情况。但是,聪明的诸位可能已经不耐烦了:说了这么多,这个理论虽然很牛X,但是要想得到,必须解决下面三个问题:

  • 如何确定电子数密度函数
  • 如何确定动能泛函
  • 如何确定交换关联能泛函

上期介绍过的1965年科恩和沈吕九两人解决了前两个问题

  • N个单电子的波函数可以直接构成密度函数

  • 动能泛函可用一个已知的无相互作用的电子系统的动能泛函来替代,关于这一块内容又是一个复杂的问题,在此简单地满足一下读者的好奇心先给出非相对论近似下半经典非周期性近似:

关于动能算符不同的近似理论问题,若读者对此非常感兴趣,欢迎在本文末尾评论并点赞,小编将根据投票数目决定是否需要在下一期展开。第三个问题关于电子交换关联能的来龙去脉,作者会在后面专门开一篇详述。(弼马温又卖关子,看来今年的蟠桃盛会是没他的份儿了)

  1. 里兹(Ritz)变分法

看到这里的读者可能直嘀咕:上期弼马温的文章读起来像听故事,就像喝八宝粥一样,味道甜,好消化,今天的“干货文章”真的太干了,放眼过去一大堆公式,不好消化,要吃点健胃消食片。讲了半天又是“泛函”又是“变分”的,听起来如此高(hui)大(se)上,其实作者自从学生时代以来一直觉得这两个词读起来如此高冷只是因为翻译问题(拉格朗日、欧拉的棺材板马上要盖不住了),密度泛函理论中的泛函二字其实就是function(函数),强调的就是密度函数对其他能量、力学量的映射关系,因为密度函数本身是空间矢量的函数,而其他物理量现在又是密度函数的函数,因而这里最初翻译为泛函。

求解科恩-沈吕九方程的密度函数主要使用变分法,变分也是一个听起来让很多人生畏的词,这里简单给大家献上里兹变分法压压惊~

哈密顿量的本征值按照从小到大的顺序排列为:对应的本征函数为因为体系任意波函数满足,因而

等号当且仅当时成立,若将归一化,则有,推论:在任意一个与正交的波函数所描述的状态中,体系能量的平均值,等号在时成立[ii]。

这个公式虽然好理解,就是说的所有试探解中本征值最小的那个就是基态,第二小的就是第一激发态,但是看起来非常头大。特别是体系复杂了之后想想都让人望而却步,的确,在这个理论提出的最初20年中,并没有受到足够的重视。不过,今天生活在信息化时代的读者们其实不难发现,里兹变分法提出了一种判断语句,在拥有足够算力的计算机中,这套理论为解决复杂微观多电子体系提供了指导思想。所以说白了,这套理论不是用来让人解方程的,而是把解方程这种累活交给计算机的(但是好像不久的将来AI或许会因为这个问题跟人类翻脸起义)。当然关于收敛、迭代问题的方法到今天已经优化很多,不再需要上述方法这种原始的试探方式,但是此处作者借里兹变分法向读者展示霍恩贝格-科恩定理的现实意义。

读到这里,或许大家跟弼马温有一样的感慨,早在计算机发明、普及之前,有人已经开始研究了适合在超级计算机(high performance computer,HPC)运行的算法(想在未来AI时代青史留名的可以考虑往这个方向发展)。另一个类似的例子则是有我国著名数学家陈景润在证明“1+2”时运用了筛法思想,相关的数学研究成果于1966年发表,而后英国数学家海尼·哈伯斯坦姆和德国数学家汉斯-埃贡·黎希特在两人合著的《筛法》中将相关成果命名为“陈氏定理”,其“陈氏筛法”后来则被运用于超级计算机的问题求解中[iii]。所以我打赌AI时代的义务教育课文里还会有一篇咱们熟悉的《不知疲倦的人》(现在有没有觉得这就是在说AI)!

由此可见,高冷晦涩的基础学科有时也在默默地为未来接地气的科学成果做着贡献的。

弼马温不是有意卖了三次关子,实在是受篇幅所限,敬请期待近期更新下一回——电子交换能与电子关联能

往期回顾:第一性原理小知识: 名称起源和密度泛函理论的诞生

[i]  Viraht, Xiao-Yin (2012). “Hohenberg-Kohn theorem including electron spin”. Physical Review A. 86 (4): 042502. 

[ii] Trefethen, Lloyd N.; Bau, III, David (1997). Numerical Linear Algebra. SIAM. p. 254. ISBN 978-0-89871-957-4

[iii] H. Halberstam and H. -E. Richert. Sieve Methods. London: Academic Press. 1974. ISBN 0-12-318250-6 

本文由材料人材料计算HTH官网地址 顾问弼马温投稿。本文为材料计算干货专栏第四篇。

材料人推出材料计算干货专栏,邀请材料人材料计算HTH官网地址 顾问撰写计算相关干货,敬请关注。

对材料计算感兴趣?请加入材料人-材料计算交流群(562663183)

如果您也想在材料研究应用第一性原理,欢迎扫码提交您的需求。材料人材料计算HTH官网地址 顾问可为您解忧。

未经允许不得转载:材料牛 » 第一性原理发展简史(2)霍恩贝格-科恩定理与里兹变分法

相关文章

Baidu
map